29 April 2013

Fragment merging for renin

Renin, an aspartic protease involved in regulating blood pressure, is one of those drug targets that has been around forever; it took decades before the first direct inhibitor was approved. In a recent paper in J. Med. Chem., Daniel Baeschlin and colleagues at Novartis (where the approved drug was discovered) describe how they’ve taken a fragment-merging approach to look for additional inhibitors of this target.

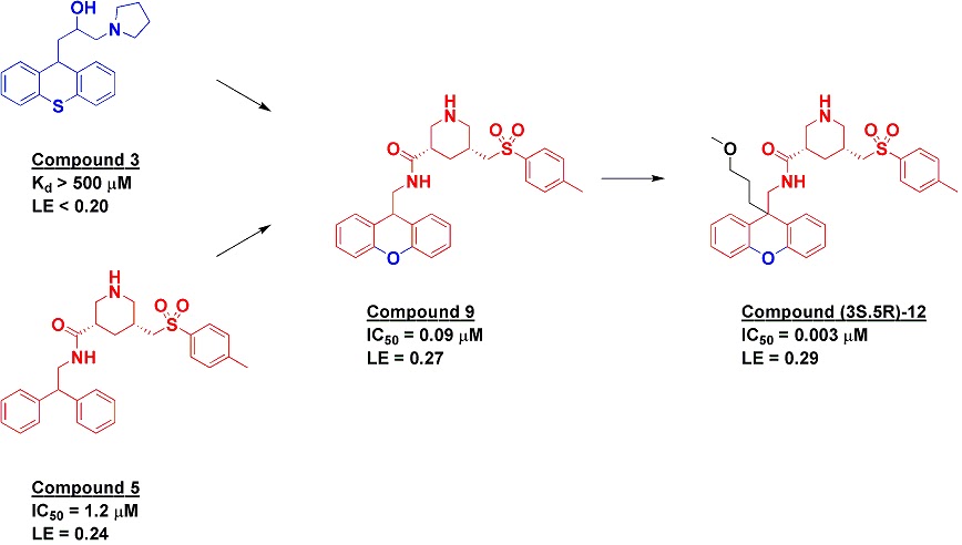
The researchers started by assembling a small (113 compound) fragment library designed to target aspartic proteases. This was screened against renin by NMR, resulting in hits such as compound 3. Although these were too weak to yield dissociation constants or IC50 values by NMR or biochemical screens, the researchers were able to obtain crystal structures of at least two of these fragments bound to renin, including compound 3. Interestingly, although the amino alcohol moiety of this compound was designed to target the catalytic aspartic acids, this turned out not to be the case. Instead the binding appears to be largely driven by hydrophobic contacts between the tricyclic moiety of the fragment and the so-called S3-S1 pocket of the protein.


Along with the fragment effort, the researchers also undertook an HTS screen, resulting in the discovery of compound 5, which itself had come from a 950-compound library targeted towards aspartic proteases. Crystallography revealed that this molecule binds with the diphenylmethane moiety in a similar position as the tricycle of fragment 3, and indeed when a rigid tricyclic framework was grafted onto compound 5 the resulting compound 9 showed a satisfying boost in potency. Further optimization led to a pure enantiomer of compound 12 with low nanomolar potency, good selectivity, moderate oral bioavailability and efficacy in rats, though it did also show some time-dependent CYP3A4 inhibition.

This is really a structure-based design paper, and there is obviously much more detail than would be appropriate here. What caught my eye is that it is a nice example of fragment-assisted drug discovery, in which fragment information is used as one aspect of an overall lead discovery program. In this case a cynic could argue that the only bit that came from the fragment was the tricylic motif. However, given the limitless number of analogs that could be made, such information can be both unexpected and valuable.

23 April 2013

Poll: how many atoms are too few?

Last year we asked how large a fragment you would include in your library, but the related question, how low will you go, is also interesting (see poll to right).

Azaindole, with 9 non-hydrogen atoms, has been the starting point for more than one clinical compound, and 5-atom acetohydroxamic acid also figures rather prominently in fragment history, but would you include something this small? How seriously should we take the Rule of 1?

22 April 2013

Poll Results - Number of Fragments in the Screen

The poll is closed!  So, the question was
I think it is fair to say that the average number of fragments per fragment mixture for NMR pooling is 6.  I typically say five is the goal and if you can squeeze in more good on ya!  I don't think the limitation is chemical shifts, I think it is solubility.  I would love to hear what others think is the limitation.

20 April 2013

Eight Annual Fragment-Based Drug Discovery Meeting (part 2)

The last major fragment event of 2013, CHI’s FBDD, wrapped up earlier this week in San Diego. As with last year this summary is not meant to be comprehensive (and you can also read Teddy’s impressions here.)

The FBDD track is just one of six within the CHI Drug Discovery Chemistry Conference. One indication of the success of the field is its appearance in several of the other tracks: attendees were likely to hear about fragments without going to the FBDD track at all.

In the GPCR track, Robert Cooke from Heptares discussed the application of fragments to the β1-adrenergic receptor (see also here). In the kinase track, Hongtao Zhao presented in silico fragment work (see also here). And in the protein-protein interaction track, David Fry from Roche described a deconstruction of the p53-HDM2 inhibitor RG7112 into its component fragments to see whether the molecule could have been identified from FBLD. RG7112 consists of a central core with four appendages, and although the mono-substituted core was too weak to detect, some of the cores with two substituents could be identified and bound to the protein in the same manner as the parent compound. However, these did tend to be super-sized fragments, with molecular weights in the 300-350 Da range.

Protein-protein interactions were also a theme of Richard Taylor, from the company UCB. They built a sizable fragment library of about 23,000 (mostly commercial) compounds designed to cover molecular frameworks found in known drugs. UCB has invested heavily in SPR technology, and with a stable of four Biacore 3000 instruments could rapidly screen this entire library against a dozen protein-protein interaction targets. Not surprisingly, given the difficulty of this target class, the hit rate was much lower than in conventional fragment screens, averaging just about 1%. What was interesting is that only 964 fragments hit any target – at less than 5%, this is much lower than the roughly 33% hit rate seen in other fragment libraries. Most of these fragments were reasonably specific, though; 908 hit ≤ 8 targets. It will be interesting to see whether anything can be learned about “privileged” protein-protein interaction fragments from this set.

Of course, extracting general trends from collections of fragments is not necessarily straightforward. Teddy has already brought up the difficulties of describing molecular shape; as he pointed out in his presentation, Fsp3 is not the best measure of “three-dimensionality” for several reasons. For example, even toluene has an Fsp3 = 0.14, and while Pete Kenny correctly points out that aromatic molecules do have volume, most chemists would think of this as a very “flat” compound. Principal moment of inertia (PMI) is better, but is harder to calculate. Happily, as Justin Bower described in his presentation, the Beatson Institute is allowing other researchers to use their 3DFIT software to calculate PMI and other properties.

One of the criticisms of 3D fragments is that, as Rod Hubbard pointed out, they can be a “pain in the neck” for chemistry. One solution that researchers at Vernalis took was to do analog work on a simpler molecule, then scaffold-hop back to the original fragment once the SAR was sufficiently understood to justify investment in more challenging chemistry.

Finally, the question of what to do with fragment hits that don’t reproduce in different assays was the topic of at least one breakout discussion and was also extensively discussed by Peter Kutchukian, who presented an analysis of 134 fragment screens using a variety of techniques against 34 different targets at Novartis. Some of this was presented at FBLD 2012, but one interesting finding was that hits from biophysical screens (such as SPR, NMR, or DSF) tended to cluster separately from hits in biochemical assays. Given the number of ways to find fragments, pursuing hits that confirm in both a biochemical and a biophysical method may help to weed out artifacts, though at the risk of increasing false negatives.

Feel free to chime in with your thoughts and impressions, whether or not you were there. And if you are kicking yourself for not attending, next year’s meeting is scheduled to return to San Diego from April 22-25.

17 April 2013

What's the Fire behind the Smoke?

Dan and I are here at the CHI FBDD conference, with of course other luminaries.  I am not going to get into details about all the talks, Dan does that much better than I anyways.  I wanted to set up some future blog posts by sharing what I think are some trends.

1.  3D fragments are real and very useful.  However, fSP3 is a horrible way to measure 3D-arity.  Principal Moment of Inertia (PMI) is a much better way to determine this.  This was mentioned in a brilliant talk (watered down from full-fledged rant) by me.  But much better explained by Justin Bower of the Beatson Institute. 

2.  Solubility, Solubility, and Solubility.  Experimentally determined solubility is a much better indicator of fragment quality (for a library) than cLogP, for example. 

3.  The Voldemort Rule (or the rule that shall not be named).  Arbitrary "rules" created as a marketing tool have no place in a discipline that has over a decade of results and empirical evidence.  While Dan is not ready to put a stake in its heart, I am.  Rod Hubbard is.  Who else wants to join Zartler-Dore's Army?
Look for more updates, thoughts, comments, and general frivolity as follow up to the conference.

14 April 2013

Fragments in the clinic: AZD5363

As illustrated earlier this year, kinases have been a fertile field for fragments. In a recent issue of J. Med. Chem., Jason Kettle and colleagues at AstraZeneca describe the discovery of AZD5363, a protein kinase B (PKB) inhibitor currently in multiple phase I clinical trials for solid tumors.

The story actually starts a decade ago, with a collaboration between Astex and the Institute of Cancer Research. The two organizations were interested in PKB (also known as Akt1), which has a central role in the PI3K signaling cascade. Virtual, biochemical, and crystallographic screens identified small fragments such as substituted pyrazoles and 7-azaindole (which astute readers will recognize as the starting point for vemurafenib) that bind to the so-called hinge region of PKB. Structure-guided fragment-growing ultimately led to compound 2.



This compound, while potent against PKB, was unselective against the related protein kinase A (PKA), so further crystallographically-enabled medicinal chemistry led to CCT128930, with 30-fold selectivity against PKA. This compound had limited oral bioavailability, so further optimization led to compound 3.

In 2005, Astex partnered this program with AstraZeneca, which is presumably where the current paper picks up. Although compound 3 had good pharmacokinetics and was selective against PKA, it inhibited the kinase ROCK2, which regulates blood pressure; it was also a modest hERG inhibitor. Extensive SAR explorations around the hinge-binding element, the amine, and the aromatic group were not productive, but substitution off the benzylic position was tolerated. Adding a basic substituent dramatically reduced hERG binding, but at the cost of oral bioavailability. However, adding a variety of neutral, polar substituents led ultimately to AZD5363, which has no detectable hERG inhibition, good selectivity against ROCK2, and improved solubility and cell activity.

This paper nicely illustrates some of the challenges in drug discovery: high-affinity molecules were obtained relatively quickly, but these still required a huge amount of effort to achieve selectivity, oral bioavailability, and other properties. Indeed, only three heavy atoms differentiate compound 3 from AZD5363, but it took a heroic effort to get there.

Finally, it is worth noting that this research was done at Alderley Park, which attendees of Fragments 2009 will remember fondly. Sadly, AstraZeneca has announced that they will be closing this site. There are many very talented scientists there, and Practical Fragments wishes all of them the best of luck.

12 April 2013

Upcoming Fragment Conference

Next week is the big fragment conference in the US (after a successful european one).  There are lots of interesting things going on.  Dan and I will be co-teaching a short course on fragments on Monday afternoon.  The conference then starts with Protein-Protein Interactions Optimizing Hit to Leads (with the best talk title: To Affinity and Beyond: From Screened Fragments To Optimized Leads With SPR and ITC), followed by Library and computational talk in the afternoon.  Day 2 starts with the ever popular breakfast roundtables, led by Dan, Rod Hubbard, Kevin Burgess, and myself.  The last session of the day will be the case studies.  There are a variety of events happening during the conference (and there are other tracks simultaneously) that Dan and I will update you on right here.  So, if you are going to be in SD we hope to see you. 

09 April 2013

Fast, competitive thermodynamic data

The importance of thermodynamics in drug discovery is often debated, with advocates arguing that ligands binding primarily through enthalpic interactions may be superior to those whose binding is driven by entropy. Some publications support these claims, though the data are rather sparse. This is at least partly because thermodynamic measurements are typically done using isothermal titration calorimetry (ITC), which consumes sizable amounts of protein and is not exactly high throughput. In a recent issue of J. Med. Chem., Jose Caaveiro, Kouhei Tsumoto, and their colleagues at the University of Tokyo and GE Healthcare Japan describe a new screening method that could speed things up.

The approach, which is essentially a competition screen, is called single-injection thermal extinction, or SITE. In a conventional calorimetric assay, a ligand is added to the protein in a calorimeter, and the measured heat change upon binding is used to calculate enthalpy. In SITE, a protein is first incubated with the fragment to be tested in the calorimeter, and a known positive control binder is then added. If the fragment binds at the same site as the known binder, addition of the positive control will cause a smaller change in temperature, and this difference should reflect the enthalpy of binding of the fragment compared to the positive control.

To validate the system, the researchers tested the steroid-processing enzyme ketosteroid isomerase (KSI). They first ran an SPR screen of 2000 fragments at 0.2 mM. To weed out false positives, they used two different types of SPR chips, and looked closely at the binding curves; the paper has a nice summary of some of the pathologies that can occur. A total of 129 hits were identified, of which 44 were then tested in SITE and characterized more fully with SPR.

Interestingly, most of the most potent compounds – as assessed by SPR – also gave the strongest signals in SITE, suggesting that these compounds are binding largely through enthalpic interactions. A few of the best compounds were further characterized by conventional ITC, and these did in fact have better enthalpic efficiencies than the positive control (they had better ligand efficiencies too).

It would be interesting to know how SITE behaves with allosteric inhibitors or ligands that bind to different sites on the protein. And of course, the jury is still out on whether enthalpic binders really do make superior leads, and even whether it is possible to use thermodynamics prospectively in lead optimization. But with a 9-fold drop in protein consumption and an increase in speed, this technique may make it easier to get the data to answer these questions.

03 April 2013

Everything that can go wrong

Anyone who ventures into fragment screening will encounter problems. Maybe your compound isn’t what you think it is. Or it’s contaminated with something that mucks up your assay. Or it degrades – possibly during the experiment.

Maybe you haven’t removed the PAINS from your screening collection, and you get results like this. Or perhaps you forgot to add detergent, and your hits are all aggregators.

Even if all your compounds are pure and beautiful little three-dimensional works of molecular art, things can go wrong in screening. As part of our occasional “Getting misled” series, we’ve highlighted problems that can arise in NMR and crystallography (here, here, and here). But that doesn’t mean that practitioners of SPR, ITC, thermal shifts, or other assays can relax.

As the old saying goes, forewarned is forearmed, so Ben Davis (of Vernalis) and I have put together a brief review of the many things that can go wrong in fragment-based lead discovery campaigns; thanks also to readers who shared their horror stories. It has just been published as a Digest in Bioorg. Med. Chem. Lett. To maximize readership, Elsevier has agreed to make this open access, at least through 2013. We hope this will be useful for folks starting out in the field, as well as for other researchers, journal editors, and reviewers trying to assess and build on the literature.

Of course, I’m sure we’ve left out lots of things that can go wrong, so feel free to comment here!

01 April 2013

One metric to rule them all

Most readers are familiar with ligand efficiency and LLE, and many folks are using LLEAT as well. However, as we’ve previously noted, a whole cottage industry has been busily devising new metrics, and it sometimes becomes hard to keep them all straight.

To help bring some order to the chaos, researchers at Mordor State College (home of the Sauron Atoms) have developed what they call the Wholly Transcendent Function, or WTF. This metric takes into account binding affinity, number of heavy atoms, ClogP, and molecular topology, but it also includes information about metabolic stability, toxicity, blood-brain barrier penetration, hERG binding, CYP inhibition, and potential for becoming a blockbuster, all encoded into a single number between 0 and 1.

Unfortunately, collecting all the data necessary to calculate WTF is quite a quest, but the gaps are readily filled by guesswork, producing a metric that can banish unnecessary complexity. Moreover, the researchers are confident that improved computational estimates will one day make even more accurate predictions readily available.